Nicmar Question Papers Download
Find topic-wise and section-wise question papers for practice here. You cant get thatcz students are not allowed to take question paper with them.
Pgp Reuim Brochure2014 University And College Admission Educational Assessment
We provide you the subjectwise and topics PDFs for the NICMAR CAT exam.

Nicmar question papers download. NMAT Question Paper - Download NMAT previous year question papers with comprehensive solutions. Is there any private entrance exam for NICMAR institute. That is we provide you with the Direct Link to get theNICMAR CAT Old Papers from the end of the page.
Which course is better for post graduation from NICMAR after completing BE in Civil. Which takes for 250 marks. The question papers of CAT will help you improve your time management skills.
Download NICMAR CAT Previous Question Papers PDF The Candidates can get NICMAR CAT Previous Question Papers PDFs here. The exam pattern of the NICMAR CAT includes the subjects of Quantitative and Analytical Ability Data Interpretation Verbal and General Ability. Prepare with CAT Previous Question papers.
Hence candidates can download them and accordingly start their preparation. CAT question paper with solution PDF is great help for CAT 2020 test takers to know the exact CAT question paper its topics and composition. NICMAR entrance previous years question papers.
The candidates can download every Pdf which is provided at the end of the page and can score better. This is a great opportunity for the candidates who are attempting the NICMAR CAT written exam. NICMAR CAT Previous Question Papers PDF Download NCAT Model Papers PDF 2nd Round.
This article provides you all subject wise NICMAR CAT. The candidates who are searching for the NICMAR CAT Entrance Exam Question Papers can get them over here. Where i can get a previous question papers of nicmar and also sample question papers.
Answer previous CAT Exam papers to test your skills analyze and assess yourself. Why NICMAR and why ACMPEMREUIMIFDM. This article provides you all subject wise.
NICMAR CAT Previous Question Papers PDF Download NCAT Model Papers PDF 2nd Round. They can ask a. IMU CET Sample Papers 2021 - IMU CET Model Papers 2021 are published online for the reference of the candidates by the authorities of Indian Maritime University IMU and it supports them in the exam preparation to ultimately score well in the forthcoming exams.
We strongly advice serious CAT aspirants to scan though all the CAT questions papers one by one to get the feel of the toughness level CAT syllabus and the understand the gradual changes in CAT Paper pattern as well. NICMAR has been constituted as a non profit organization with the objective of engaging in activities for the promotion of education training research and professionalism at all levels of the construction and other allied industries. CAT Previous year question Papers with solutions PDF.
You will have to work on your time. The total duration of Page 720. 13 18th June 2012 1028 PM.
You will be asked about a few general questions like 1. Where can I get NICMAR entrance exam question papers. This is a great opportunity for the candidates who are attempting the NICMAR CAT written exam.
For serious aspirants who would like to test themselves with the actual CAT papers we are also providing separate section-wise questions with solutions for CAT 2018 CAT 2019. The candidates who are searching for the NICMAR CAT Entrance Exam Question Papers can get them over here. CAT previous papers with solutions for CAT exam with detailed explanation for each previous questions of CAT Quant Verbal and DI LR.
Tell me About yourself. This is a great opportunity for the candidates who are attempting the NICMAR CAT written exam. Details about NICMAR SODE placements.
The candidates who are searching for the NICMAR CAT Entrance Exam Question Papers can get them over here. They can ask about your jobinternship experience if any. CDAC C-CAT Previous Question Papers PDF Download NICMAR CAT Previous Question Papers PDF Download NCAT Model Papers PDF 2nd Round.
For written prepare from quantitative aptitude of R S Agarwalit will be sufficient For interviewthere will some general questions about you Prepare 1 su. CAT 2019 question paper Pdf Download was made available by IIM Kozhikode after a few days of the CAT exam. NICMAR CAT Previous Question Papers PDF Download NCAT Model Papers PDF 2nd Round.
Download Previous Year CAT Paper Mock. The candidates who are searching for the NICMAR CAT Entrance Exam Question Papers can get them over here. Prepare your final year project in detail.
Download CAT 2019 Question paper PDF. This is a great opportunity for the candidates who are attempting the NICMAR CAT written exam. If yes then post the details.
Sample papers for NICMAR exam. Read Online Cat Exam Question Papers Of Previous Years the CAT exam has been reduced to 2 hours from 3 hours. IMU CET Sample Papers 2021 helps the students to get a clear idea of the types of questions being asked in the exams number of.
Nicmar Pgp Acm Brochure2014 Cousre Content Pdf University And College Admission Postgraduate Education

Nicmar National Institute Of Construction Management And Research School Of Distance Education Pune Pdf Free Download

What Is The Syllabus For The Nicmar Entrance Test What Is The Order Of The Best Campuses In Terms Of Education And Placements Quora
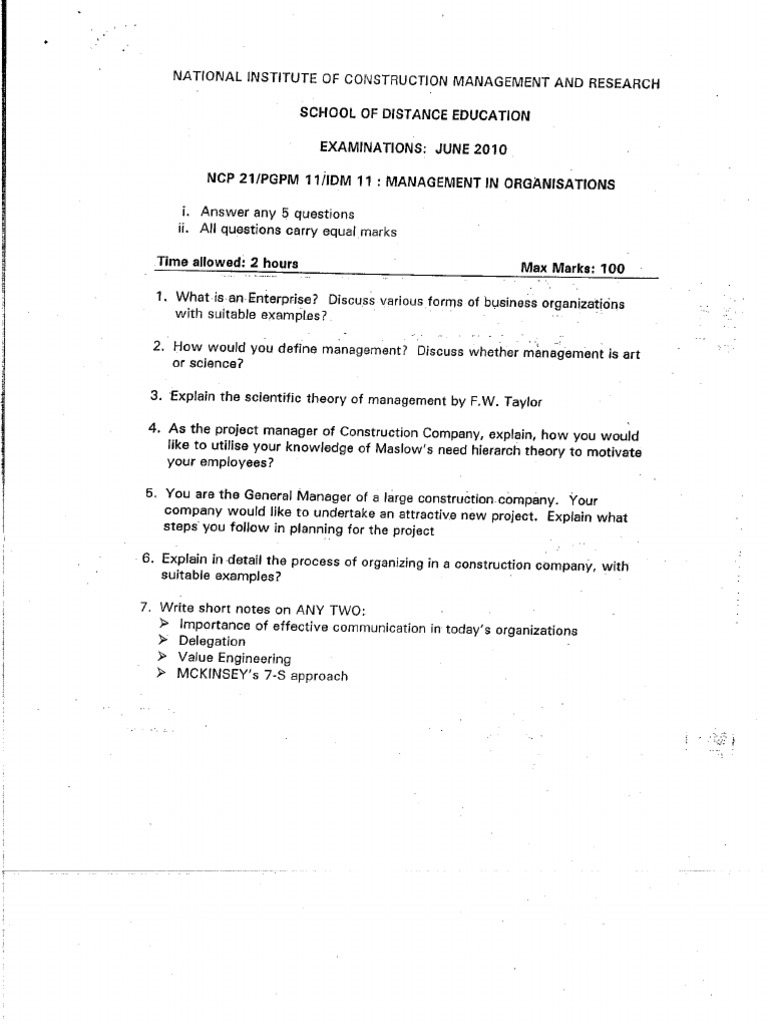
Nicmar Exam Ques Paper June 2010

Admissions To Postgraduate Programmes In Nicmar Apply By Dec 27 Nicmar National Institute Of Construction Management And Research

Nicmar Ncat Question Papers 2020 Download Ncat Previous Year Papers Pdf Exam Updates

Nicmar Exam Question Paper 2021 2022 Student Forum

Nicmar Cat Previous Question Papers Pdf Ncat Old Papers
![]()
Pdf Pgpm 31 Nicmar Assignments 1 Saurabh Kumar Sharma Academia Edu

Nicmar Exam Sample Papers 2021 2022 Studychacha

Nicmar Exam Question Paper 2021 2022 Student Forum

Nicmar Entrance Exam Papers 2020 2021 2022 Courses Ind In

Nicmar Exam Question Paper 2021 2022 Student Forum

Nicmar Exam Sample Papers 2021 2022 Studychacha
Pgp Reuim Brochure2014 University And College Admission Educational Assessment

Nicmar Cat 2021 Application Form Released Nicmar Common Admission Test Online Offline Registration Eligibility Exam

Post a Comment for "Nicmar Question Papers Download"